Einde inhoudsopgave
Verordening (EU) nr. 575/2013 betreffende prudentiële vereisten voor kredietinstellingen en tot wijziging van Verordening (EU) nr. 648/2012
Artikel 259 Berekening van risicogewogen posten in het kader van de SEC-IRBA
Geldend
Geldend vanaf 17-01-2018
- Redactionele toelichting
Wordt toegepast vanaf 01-01-2019. Met betrekking tot securitisaties waarvan de effecten zijn uitgegeven vóór 01-01-2019 blijven instellingen de bepalingen in hoofdstuk 5 tot en met 31-12-2019 toepassen in de versie die op 31-12-2018 van toepassing is. Voor de toepassing hiervan worden, in het geval van securitisaties waarbij geen effecten worden uitgegeven, verwijzingen naar 'securitisaties waarvan de effecten zijn uitgegeven' geacht te betekenen 'securitisaties waarvan de initiële securitisatieposities worden gecreëerd'.
- Bronpublicatie:
12-12-2017, PbEU 2017, L 347 (uitgifte: 28-12-2017, regelingnummer: 2017/2401)
- Inwerkingtreding
17-01-2018
- Bronpublicatie inwerkingtreding:
12-12-2017, PbEU 2017, L 347 (uitgifte: 28-12-2017, regelingnummer: 2017/2401)
- Vakgebied(en)
Financieel recht / Bank- en effectenrecht
Financieel recht / Financieel toezicht (juridisch)
1.
In het kader van de SEC-IRBA wordt de risicogewogen post voor een securitisatiepositie berekend door de overeenkomstig artikel 248 berekende blootstellingswaarde van de positie te vermenigvuldigen met het toepasselijke risicogewicht dat als volgt is bepaald, waarbij in alle gevallen een ondergrens van 15 % geldt:
RW = 1 250 % | indien D ≤ KIRB |
| indien A ≥ KIRB |
waarbij: KIRB de kapitaaltoeslag van de pool van onderliggende blootstellingen in de zin van artikel 255 is D het overeenkomstig artikel 256 bepaalde detachment point is A het overeenkomstig artikel 256 bepaalde attachment point is | indien A < KIRB < D |

waarbij:
a = − (1/(p * KIRB))
u = D − KIRB
l = max (A −; KIRB; 0)
waarbij:
p = max [0,3; (A + B*(1/N) + C*KIRB + D*LGD + E*MT)]
waarbij:
N | het overeenkomstig lid 4 berekende effectieve aantal blootstellingen in de pool van onderliggende blootstellingen is; |
LGD | het overeenkomstig lid 5 berekende naar blootstelling gewogen gemiddelde verlies bij wanbetaling van de pool van onderliggende blootstellingen is; |
MT | de overeenkomstig artikel 257 vastgestelde looptijd van de tranche is. |
De parameters A, B, C, D en E worden volgens de volgende tabel vastgesteld:
A | B | C | D | E | ||
|---|---|---|---|---|---|---|
Niet-retail | Senior, granulair (N ≥ 25) | 0 | 3,56 | − 1,85 | 0,55 | 0,07 |
Senior, niet-granulair (N < 25) | 0,11 | 2,61 | − 2,91 | 0,68 | 0,07 | |
Niet-senior, granulair (N ≥ 25) | 0,16 | 2,87 | − 1,03 | 0,21 | 0,07 | |
Niet-senior, niet-granulair (N < 25) | 0,22 | 2,35 | − 2,46 | 0,48 | 0,07 | |
Retail | Senior | 0 | 0 | − 7,48 | 0,71 | 0,24 |
Niet-senior | 0 | 0 | − 5,78 | 0,55 | 0,27 | |
2.
Indien de onderliggende IRB-pool zowel blootstellingen met betrekking tot particulieren en kleine partijen (retailblootstellingen) als andere blootstellingen (niet-retailblootstellingen) omvat, wordt de pool verdeeld in één retailsubpool en één niet-retailsubpool en wordt voor elke subpool een afzonderlijke p-parameter (en de overeenkomstige inputparameters N, KIRB en LGD) geraamd. Vervolgens wordt een gewogen gemiddelde p-parameter voor de transactie berekend op basis van de p-parameters van elke subpool en de nominale omvang van de blootstellingen in elke subpool.
3.
Indien een instelling de SEC-IRBA op een gemengde pool toepast, wordt de berekening van de p-parameter gebaseerd op de onderliggende blootstellingen die alleen onder de IRB-benadering vallen. De onderliggende blootstellingen die onder de standaardbenadering vallen, worden voor die doeleinden buiten beschouwing gelaten.
4.
Het effectieve aantal blootstellingen (N) wordt als volgt berekend:

waarbij EADi de met de ide blootstelling in de pool verbonden waarde van blootstelling vertegenwoordigt.
Meerdere blootstellingen aan dezelfde debiteur worden geconsolideerd en als één enkele blootstelling behandeld.
5.
Het naar blootstelling gewogen gemiddelde LGD wordt als volgt berekend:

waarbij LGDi het gemiddelde met alle blootstellingen aan de ide debiteur verbonden LGD vormt.
Indien bij een securitisatie het krediet- en het verwateringsrisico voor gekochte kortlopende vorderingen op geaggregeerde wijze worden behandeld, wordt de LGD-input bij het kredietrisico opgevat als een gewogen gemiddelde van het LGD en bij het verwateringsrisico als 100 % van het LGD. De gewichten zijn de afzonderlijke kapitaalvereisten van de IRB-benadering voor respectievelijk het kredietrisico en het verwateringsrisico. Indien voor de dekking van verliezen vanwege hetzij het kredietrisico hetzij het verwateringsrisico één enkel reservefonds of één enkele overpanding beschikbaar is, kan dit reservefonds of die overpanding voor die doeleinden worden beschouwd als een aanwijzing dat deze risico's op een geaggregeerde wijze worden beheerd.
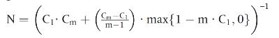
6.
Wanneer het aandeel van de grootste onderliggende blootstelling in de pool (C1) niet meer dan 3 % bedraagt, kunnen de instellingen de volgende vereenvoudigde methode gebruiken om N en de naar blootstelling gewogen gemiddelde LGD's te berekenen:

LGD = 0,50
waarbij:
Cm | het met de som van de grootste m-blootstellingen overeenstemmende aandeel van de pool aangeeft, en |
m | door de instelling wordt vastgesteld. |
Indien alleen C1 beschikbaar is en de waarde daarvan niet meer dan 0,03 bedraagt, kan de instelling het LGD als 0,50 en N als 1/C1 vaststellen.
7.
Wanneer de positie door een gemengde pool wordt gedekt en de instelling KIRB overeenkomstig artikel 258, lid 1, onder a), op ten minste 95 % van de onderliggende posten kan berekenen, berekent de instelling de kapitaaltoeslag voor de pool van onderliggende blootstellingen als:
d · KIRB + (1 − d) · KSA,
waarbij:
d het aandeel is van het bedrag van de onderliggende blootstellingen waarvoor de instelling KIRB over het bedrag van alle onderliggende blootstellingen kan berekenen.
8.
Wanneer een instelling een securitisatiepositie heeft in de vorm van een derivaat ter afdekking van marktrisico's, waaronder renterisico's of valutarisico's, kan zij dat derivaat een afgeleid risicogewicht toekennen dat gelijk is aan het overeenkomstig dit artikel berekende risicogewicht van de referentiepositie.
Voor de toepassing van de eerste alinea wordt onder referentiepositie de positie verstaan die in alle opzichten dezelfde rang als het derivaat heeft of, bij gebrek aan een dergelijke positie van dezelfde rang, de positie die het derivaat onmiddellijk in rang volgt.

