Einde inhoudsopgave
Gedelegeerde verordening (EU) 2015/35 tot aanvulling van Richtlijn 2009/138/EG betreffende de toegang tot en uitoefening van het verzekerings- en het herverzekeringsbedrijf (Solvabiliteit II)
Artikel 96 Vereenvoudigde berekening van het kapitaalvereiste voor rampenrisico in het levensverzekeringsbedrijf
Geldend
Geldend vanaf 18-01-2015
- Bronpublicatie:
10-10-2014, PbEU 2015, L 12 (uitgifte: 17-01-2015, regelingnummer: 2015/35)
- Inwerkingtreding
18-01-2015
- Bronpublicatie inwerkingtreding:
10-10-2014, PbEU 2015, L 12 (uitgifte: 17-01-2015, regelingnummer: 2015/35)
- Vakgebied(en)
Financieel recht / Financieel toezicht (juridisch)
Verzekeringsrecht / Algemeen
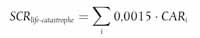
Indien artikel 88 wordt nageleefd, mogen verzekerings- en herverzekeringsondernemingen het kapitaalvereiste voor rampenrisico in het levensverzekeringsbedrijf als volgt berekenen:

waarbij
- (a)
de som alle polissen met een positief risicobedrag omvat;
- (b)
CARi staat voor het risicobedrag van polis i, dat wil zeggen het hoogste van de volgende bedragen: ofwel nul, ofwel het verschil tussen de volgende bedragen:
- i)
de som van:
- —
het bedrag dat de verzekerings- of herverzekeringsonderneming op het moment zelf zou betalen in geval van het overlijden van de in het kader van de overeenkomst verzekerde personen, na aftrek van de bedragen die op herverzekeringsovereenkomsten en special purpose vehicles kunnen worden verhaald;
- —
de verwachte contante waarde van de niet onder het vorige streepje vallende bedragen die de verzekerings- of herverzekeringsonderneming in de toekomst zou betalen in geval van het onmiddellijk overlijden van de in het kader van de overeenkomst verzekerde personen, na aftrek van de bedragen die op herverzekeringsovereenkomsten en special purpose vehicles kunnen worden verhaald;
- ii)
de beste schatting van de overeenkomstige verplichtingen, na aftrek van de bedragen die op herverzekeringsovereenkomsten en special purpose vehicles kunnen worden verhaald.